Kim loại kiềm, kiềm thổ và nhôm
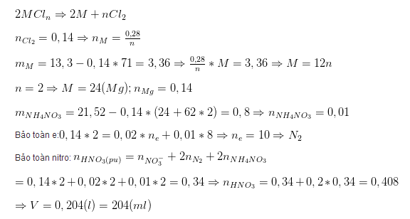
Điện phân nóng chảy hoàn toàn 13,3 gam muối clorua của một kim loại kiềm thổ, thu được 3,136 lít khí (đktc) thoát ra ở anot. Hòa tan hoàn toàn lượng kim loại sinh ra vào dung dịch HNO3 2M, khuấy đều đến khi phản ứng xảy ra hoàn toàn thu được 0,448 lít khí A ( đktc) và dung dịch X chứa 21,52 gam muối. Biết trong quá trình này HNO3 đã dùng dư 20% so với lượng cần thiết. Thể tích dung dịch HNO3 2M đã dùng là
Đáp án đúng là: D
Quảng cáo
Đáp án cần chọn là: D
>> 2K8 Chú ý! Lộ Trình Sun 2026 - 3IN1 - 1 lộ trình ôn 3 kì thi (Luyện thi 26+ TN THPT, 90+ ĐGNL HN, 900+ ĐGNL HCM, 70+ ĐGTD - Click xem ngay) tại Tuyensinh247.com.Đầy đủ theo 3 đầu sách, Thầy Cô giáo giỏi, luyện thi theo 3 giai đoạn: Nền tảng lớp 12, Luyện thi chuyên sâu, Luyện đề đủ dạng đáp ứng mọi kì thi.
![]() |
![]() |
![]() |
![]() |
![]() |
![]() |
![]() |
![]() |
Hỗ trợ - Hướng dẫn
-
024.7300.7989
-
1800.6947
(Thời gian hỗ trợ từ 7h đến 22h)
Email: lienhe@tuyensinh247.com













