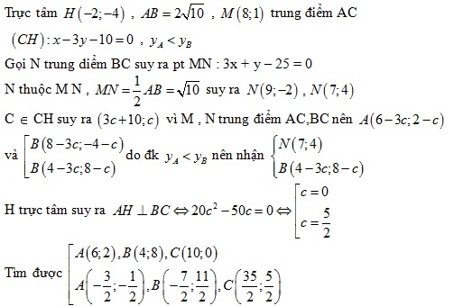
Trong mặt phẳng Oxy, cho tam giác ABC có trực tâm H(-2; -4), AB = và M(8; 1) là trung điểm cạnh AC.
Trong mặt phẳng Oxy, cho tam giác ABC có trực tâm H(-2; -4), AB =
và M(8; 1) là trung điểm cạnh AC. Tìm tọa độ các đỉnh của tam giác ABC biết (CH): x – 3y – 10 = 0 và tung độ của đỉnh A nhỏ hơn tung độ đỉnh B.
Đáp án đúng là: A
Quảng cáo
Đáp án cần chọn là: A
>> 2K8 Chú ý! Lộ Trình Sun 2026 - 3IN1 - 1 lộ trình ôn 3 kì thi (Luyện thi 26+ TN THPT, 90+ ĐGNL HN, 900+ ĐGNL HCM, 70+ ĐGTD - Click xem ngay) tại Tuyensinh247.com.Đầy đủ theo 3 đầu sách, Thầy Cô giáo giỏi, luyện thi theo 3 giai đoạn: Nền tảng lớp 12, Luyện thi chuyên sâu, Luyện đề đủ dạng đáp ứng mọi kì thi.
![]() |
![]() |
![]() |
![]() |
![]() |
![]() |
![]() |
![]() |
Hỗ trợ - Hướng dẫn
-
024.7300.7989
-
1800.6947
(Thời gian hỗ trợ từ 7h đến 22h)
Email: lienhe@tuyensinh247.com













