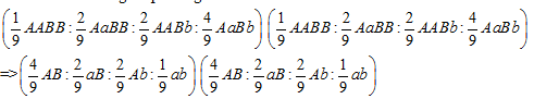
Cho 1 cây tự thụ phấn, F1 thu được 56,25% cây hoa đỏ, 43,75% cây hoa trắng. Cho giao phấn ngẫu
Cho 1 cây tự thụ phấn, F1 thu được 56,25% cây hoa đỏ, 43,75% cây hoa trắng. Cho giao phấn ngẫu nhiên các cây hoa đỏ F1 với nhau. Về mặt lí thuyết thì tỉ lệ cây hoa đỏ dị hợp 2 cặp gen thu được ở F2 là bao nhiêu?
Đáp án đúng là: B
Quảng cáo
Đáp án cần chọn là: B
>> 2K8 Chú ý! Lộ Trình Sun 2026 - 3IN1 - 1 lộ trình ôn 3 kì thi (Luyện thi 26+ TN THPT, 90+ ĐGNL HN, 900+ ĐGNL HCM, 70+ ĐGTD - Click xem ngay) tại Tuyensinh247.com.Đầy đủ theo 3 đầu sách, Thầy Cô giáo giỏi, luyện thi theo 3 giai đoạn: Nền tảng lớp 12, Luyện thi chuyên sâu, Luyện đề đủ dạng đáp ứng mọi kì thi.
![]() |
![]() |
![]() |
![]() |
![]() |
![]() |
![]() |
![]() |
Hỗ trợ - Hướng dẫn
-
024.7300.7989
-
1800.6947
(Thời gian hỗ trợ từ 7h đến 22h)
Email: lienhe@tuyensinh247.com


x
+
x
=19,75%










