Lực truyền cho vật khối lượng m1 gia tốc 2 m/s², truyền cho vật khối lượng m2 gia tốc
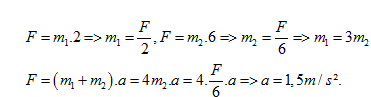
Lực truyền cho vật khối lượng m1 gia tốc 2 m/s², truyền cho vật khối lượng m2 gia tốc 6m/s². Lực sẽ truyền cho vật khối lượng (m1 + m2) gia tốc :
Đáp án đúng là: A
Quảng cáo
Đáp án cần chọn là: A
>> Học trực tuyến Lớp 10 cùng thầy cô giáo giỏi tại Tuyensinh247.com, (Xem ngay) Cam kết giúp học sinh học tốt, bứt phá điểm 9,10 chỉ sau 3 tháng, làm quen kiến thức, định hướng luyện thi TN THPT, ĐGNL, ĐGTD ngay từ lớp 10
![]() |
![]() |
![]() |
![]() |
![]() |
![]() |
![]() |
![]() |
Hỗ trợ - Hướng dẫn
-
024.7300.7989
-
1800.6947
(Thời gian hỗ trợ từ 7h đến 22h)
Email: lienhe@tuyensinh247.com












