Bất đẳng thức - Bất phương trình
![]()
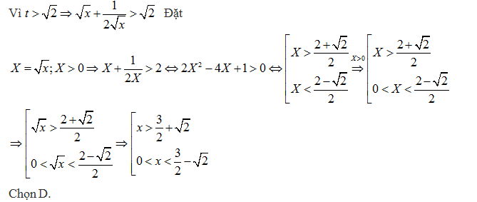
Đáp án đúng là: D
Quảng cáo
+) Tìm điều kiện xác định.
+) Nhóm các hạng tử cho hợp lí, đặt \(t = \sqrt x + \frac{1}{{2\sqrt x }}\), sử dụng bất đẳng thức Cô-si để tìm điều kiện của x.
+) Sử dụng hằng đẳng thức biểu diễn \(x + \frac{1}{{4x}}\) theo t.
Đáp án cần chọn là: D
>> Học trực tuyến Lớp 10 cùng thầy cô giáo giỏi tại Tuyensinh247.com, (Xem ngay) Cam kết giúp học sinh học tốt, bứt phá điểm 9,10 chỉ sau 3 tháng, làm quen kiến thức, định hướng luyện thi TN THPT, ĐGNL, ĐGTD ngay từ lớp 10
![]() |
![]() |
![]() |
![]() |
![]() |
![]() |
![]() |
![]() |
Hỗ trợ - Hướng dẫn
-
024.7300.7989
-
1800.6947
(Thời gian hỗ trợ từ 7h đến 22h)
Email: lienhe@tuyensinh247.com














