(1,0 điểm) Hai viên bi chuyển động ngược chiều nhau trên một đường thẳng, viên bi một có
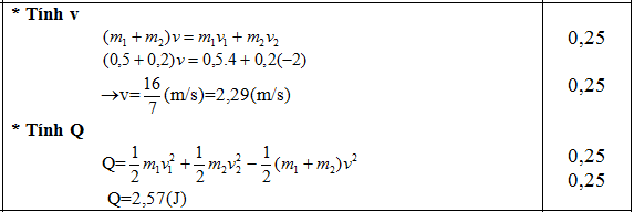
(1,0 điểm) Hai viên bi chuyển động ngược chiều nhau trên một đường thẳng, viên bi một có khối lượng 500g và có vận tốc 4m/s, viên bi hai có khối lượng 200g và có vận tốc 2m/s. Chúng va chạm và dính chặt vào nhau thành một vật. Hỏi vật ấy có vận tốc là bao nhiêu? Tính nội năng sinh ra trong quá trình va chạm.
Quảng cáo
>> Học trực tuyến Lớp 10 cùng thầy cô giáo giỏi tại Tuyensinh247.com, (Xem ngay) Cam kết giúp học sinh học tốt, bứt phá điểm 9,10 chỉ sau 3 tháng, làm quen kiến thức, định hướng luyện thi TN THPT, ĐGNL, ĐGTD ngay từ lớp 10
![]() |
![]() |
![]() |
![]() |
![]() |
![]() |
![]() |
![]() |
Hỗ trợ - Hướng dẫn
-
024.7300.7989
-
1800.6947
(Thời gian hỗ trợ từ 7h đến 22h)
Email: lienhe@tuyensinh247.com













