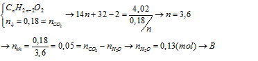
Đốt cháy hoàn toàn 4,02 gam hỗn hợp gồm axit acrylic, vinyl axetat và metyl metacrylat rồi cho
Đốt cháy hoàn toàn 4,02 gam hỗn hợp gồm axit acrylic, vinyl axetat và metyl metacrylat rồi cho toàn bộ sản phẩm cháy vào bình 1 đựng dung dịch H2SO4 đặc, bình 2 đựng dung dịch Ba(OH)2 dư thấy khối lượng bình 1 tăng m gam, bình 2 xuất hiện 35,46 gam kết tủa. Giá trị của m là:
Đáp án đúng là: B
Quảng cáo
Đáp án cần chọn là: B
>> 2K8 Chú ý! Lộ Trình Sun 2026 - 3IN1 - 1 lộ trình ôn 3 kì thi (Luyện thi 26+ TN THPT, 90+ ĐGNL HN, 900+ ĐGNL HCM, 70+ ĐGTD - Click xem ngay) tại Tuyensinh247.com.Đầy đủ theo 3 đầu sách, Thầy Cô giáo giỏi, luyện thi theo 3 giai đoạn: Nền tảng lớp 12, Luyện thi chuyên sâu, Luyện đề đủ dạng đáp ứng mọi kì thi.
![]() |
![]() |
![]() |
![]() |
![]() |
![]() |
![]() |
![]() |
Hỗ trợ - Hướng dẫn
-
024.7300.7989
-
1800.6947
(Thời gian hỗ trợ từ 7h đến 22h)
Email: lienhe@tuyensinh247.com













