Hai chất điểm dao động điều hòa trên hai đường thẳng song song kề nhau cách nhau 5 cm và cùng
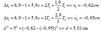
Hai chất điểm dao động điều hòa trên hai đường thẳng song song kề nhau cách nhau 5 cm và cùng song song với trục Ox. Đồ thị biểu diễn li độ của hai chất điểm theo thời gian như hình vẽ. Tại thời điểm t = 0, chất điểm (1) ở vị trí biên. Khoảng cách giữa hai chất điểm ở thời điểm t = 6,9 s xấp xỉ bằng
Đáp án đúng là: D
Quảng cáo
Đáp án cần chọn là: D
>> 2K9 Chú ý! Lộ Trình Sun 2027 - 1 lộ trình ôn đa kỳ thi (TN THPT, ĐGNL (Hà Nội/ Hồ Chí Minh), ĐGNL Sư Phạm, ĐGTD, ĐGNL Bộ Công an, ĐGNL Bộ Quốc phòngTD - Click xem ngay) tại Tuyensinh247.com. Cập nhật bám sát bộ SGK mới, Thầy Cô giáo giỏi, 3 bước chi tiết: Nền tảng lớp 12; Luyện thi chuyên sâu; Luyện đề đủ dạng đáp ứng mọi kì thi.
![]() |
![]() |
![]() |
![]() |
![]() |
![]() |
![]() |
![]() |
Hỗ trợ - Hướng dẫn
-
024.7300.7989
-
1800.6947
(Thời gian hỗ trợ từ 7h đến 22h)
Email: lienhe@tuyensinh247.com












