Xét một lưới thức ăn như sau: Có bao nhiêu phát biểu sau đây đúng?I. Chuỗi thức ăn dài nhất
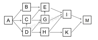
Xét một lưới thức ăn như sau:

Có bao nhiêu phát biểu sau đây đúng?
I. Chuỗi thức ăn dài nhất có 8 mắt xích.
II. Quan hệ giữa loài C và loài E là quan hệ cạnh tranh khác loài.
III. Loài G có thể là sinh vật tiêu thụ bậc 2 hoặc bậc 3.
IV. Nếu loài C bị tuyệt diệt thì loài D sẽ bị giảm số lượng cá thể.
Đáp án đúng là: C
Quảng cáo
Đáp án cần chọn là: C
>> 2K9 Chú ý! Lộ Trình Sun 2027 - 1 lộ trình ôn đa kỳ thi (TN THPT, ĐGNL (Hà Nội/ Hồ Chí Minh), ĐGNL Sư Phạm, ĐGTD, ĐGNL Bộ Công an, ĐGNL Bộ Quốc phòngTD - Click xem ngay) tại Tuyensinh247.com. Cập nhật bám sát bộ SGK mới, Thầy Cô giáo giỏi, 3 bước chi tiết: Nền tảng lớp 12; Luyện thi chuyên sâu; Luyện đề đủ dạng đáp ứng mọi kì thi.
![]() |
![]() |
![]() |
![]() |
![]() |
![]() |
![]() |
![]() |
Hỗ trợ - Hướng dẫn
-
024.7300.7989
-
1800.6947
(Thời gian hỗ trợ từ 7h đến 22h)
Email: lienhe@tuyensinh247.com












