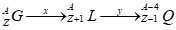
Trong chuỗi phóng xạ thì x, y lần lượt là các tia phóng
Trong chuỗi phóng xạ thì x, y lần lượt là các tia phóng xạ
Đáp án đúng là: A
Quảng cáo
* Sử dụng lí thuyết các loại tia phóng xạ.
+ Phóng xạ \(\alpha \;({}_2^4He)\): hạt nhân con lùi hai ô so với hạt nhân mẹ trong bảng tuần hoàn: \({}_Z^AX \to \;{}_2^4He\; + \;{}_{Z - 2}^{A - 4}Y\)
+ Phóng xạ \({\beta ^ - }\;({}_{ - 1}^0e)\): hạt nhân con tiến một ô so với hạt nhân mẹ trong bảng tuần hoàn: \({}_Z^AX \to \;{}_{ - 1}^0e\; + \;{}_{Z + 1}^AY\)
+ Phóng xạ \({\beta ^ + }\;({}_{ + 1}^0e)\): hạt nhân con lùi một ô so với hạt nhân mẹ trong bảng tuần hoàn: \({}_Z^AX \to \;{}_{ + 1}^0e\; + \;{}_{Z - 1}^AY\)
+ Phóng xạ \(\gamma \): Sóng điện từ có bước sóng rất ngắn: \({}_Z^A{X^*} \to \;\gamma \; + \;{}_Z^AX\)
* Sử dụng định luật bảo toàn điện tích và số khối để viết phương trình phản ứng.
Đáp án cần chọn là: A
>> 2K9 Chú ý! Lộ Trình Sun 2027 - 1 lộ trình ôn đa kỳ thi (TN THPT, ĐGNL (Hà Nội/ Hồ Chí Minh), ĐGNL Sư Phạm, ĐGTD, ĐGNL Bộ Công an, ĐGNL Bộ Quốc phòngTD - Click xem ngay) tại Tuyensinh247.com. Cập nhật bám sát bộ SGK mới, Thầy Cô giáo giỏi, 3 bước chi tiết: Nền tảng lớp 12; Luyện thi chuyên sâu; Luyện đề đủ dạng đáp ứng mọi kì thi.
![]() |
![]() |
![]() |
![]() |
![]() |
![]() |
![]() |
![]() |
Hỗ trợ - Hướng dẫn
-
024.7300.7989
-
1800.6947
(Thời gian hỗ trợ từ 7h đến 22h)
Email: lienhe@tuyensinh247.com













