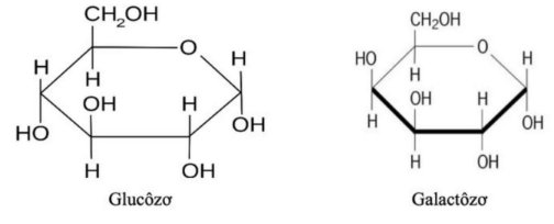
Khi hai phân tử đường đơn glucozo và galactozo liên kết với nhau tạo thành đường đôi lactozo,
Khi hai phân tử đường đơn glucozo và galactozo liên kết với nhau tạo thành đường đôi lactozo, một phân tử nước được giải phóng. Biết công thức cấu tạo của các đường đơn như sau:

Công thức hóa học của lactozo là:
Đáp án đúng là: D
Quảng cáo
Dựa vào công thức cấu tạo
Glucozo và galactozo đều có công thức hóa học C6H12O6.
Đáp án cần chọn là: D
>> 2K9 Chú ý! Lộ Trình Sun 2027 - 1 lộ trình ôn đa kỳ thi (TN THPT, ĐGNL (Hà Nội/ Hồ Chí Minh), ĐGNL Sư Phạm, ĐGTD, ĐGNL Bộ Công an, ĐGNL Bộ Quốc phòngTD - Click xem ngay) tại Tuyensinh247.com. Cập nhật bám sát bộ SGK mới, Thầy Cô giáo giỏi, 3 bước chi tiết: Nền tảng lớp 12; Luyện thi chuyên sâu; Luyện đề đủ dạng đáp ứng mọi kì thi.
![]() |
![]() |
![]() |
![]() |
![]() |
![]() |
![]() |
![]() |
Hỗ trợ - Hướng dẫn
-
024.7300.7989
-
1800.6947
(Thời gian hỗ trợ từ 7h đến 22h)
Email: lienhe@tuyensinh247.com












