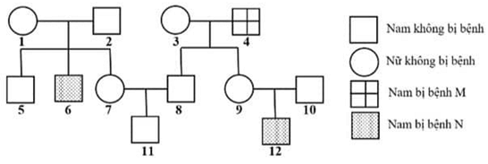
Phả hệ ở hình bên mô tả sự di truyền của bệnh M và bệnh N ở người, mỗi bệnh đều do 1
Phả hệ ở hình bên mô tả sự di truyền của bệnh M và bệnh N ở người, mỗi bệnh đều do 1 trong 2 alen của một gen quy định. Cả hai gen này đều nằm ở vùng không tương đồng trên NST giới tính X. Biết rằng không xảy ra đột biến và không có hoán vị gen. Theo lí thuyết, có bao nhiêu phát biểu sau đây đúng?

I. Người số 1 dị hợp tử về cả hai cặp gen.
II. Xác suất sinh con thứ hai bị bệnh của cặp 9 - 10 là 1/2.
III. Xác định được tối đa kiểu gen của 10 người trong phả hệ.
IV. Xác suất sinh con thứ hai là con trai bị bệnh của cặp 7 - 8 là 1/8.
Đáp án đúng là: A
Quảng cáo
Bước 1: Xác định alen gây bệnh là trội hay lặn → quy ước gen
Bước 2: Xác định kiểu gen của những người trong phả hệ.
Bước 3: Biện luận kiểu gen của người 9, 10
Bước 4: Xét các phát biểu.
Đáp án cần chọn là: A
>> 2K9 Chú ý! Lộ Trình Sun 2027 - 1 lộ trình ôn đa kỳ thi (TN THPT, ĐGNL (Hà Nội/ Hồ Chí Minh), ĐGNL Sư Phạm, ĐGTD, ĐGNL Bộ Công an, ĐGNL Bộ Quốc phòngTD - Click xem ngay) tại Tuyensinh247.com. Cập nhật bám sát bộ SGK mới, Thầy Cô giáo giỏi, 3 bước chi tiết: Nền tảng lớp 12; Luyện thi chuyên sâu; Luyện đề đủ dạng đáp ứng mọi kì thi.
![]() |
![]() |
![]() |
![]() |
![]() |
![]() |
![]() |
![]() |
Hỗ trợ - Hướng dẫn
-
024.7300.7989
-
1800.6947
(Thời gian hỗ trợ từ 7h đến 22h)
Email: lienhe@tuyensinh247.com













