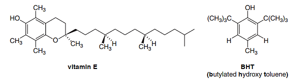
Vitamin E là chất chống oxi hoá tự nhiên có tác dụng ngăn chặn các phản ứng có thể gây tổn
Vitamin E là chất chống oxi hoá tự nhiên có tác dụng ngăn chặn các phản ứng có thể gây tổn thương tế bào. Butylated hydroxy toluene (BHT) là chất chống oxi hoá tổng hợp thường được thêm vào thực phẩm đóng gói và chế biến sẵn để ngăn chặn quá trình oxy hóa và hư hỏng. Cấu trúc của 2 chất được cho dưới đây:

Phát biểu nào sau đây không đúng?
Đáp án đúng là: B
Quảng cáo
Dựa vào CTCT ⟹ đặc điểm về CTPT, tính chất hoá học.
Đáp án cần chọn là: B
>> 2K9 Chú ý! Lộ Trình Sun 2027 - 1 lộ trình ôn đa kỳ thi (TN THPT, ĐGNL (Hà Nội/ Hồ Chí Minh), ĐGNL Sư Phạm, ĐGTD, ĐGNL Bộ Công an, ĐGNL Bộ Quốc phòngTD - Click xem ngay) tại Tuyensinh247.com. Cập nhật bám sát bộ SGK mới, Thầy Cô giáo giỏi, 3 bước chi tiết: Nền tảng lớp 12; Luyện thi chuyên sâu; Luyện đề đủ dạng đáp ứng mọi kì thi.
![]() |
![]() |
![]() |
![]() |
![]() |
![]() |
![]() |
![]() |
Hỗ trợ - Hướng dẫn
-
024.7300.7989
-
1800.6947
(Thời gian hỗ trợ từ 7h đến 22h)
Email: lienhe@tuyensinh247.com












