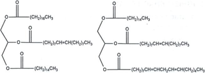
Cho hai chất X và Y có cấu trúc như hình vẽ sau:
Cho hai chất X và Y có cấu trúc như hình vẽ sau:

Chất X Chất Y
| Đúng | Sai | |
|---|---|---|
| a) Cả X và Y đều là nguồn cung cấp cho cơ thể acid béo omega -6 có tác dụng giảm huyết áp, giảm chlolesterol trong máu và ngăn chặn sự hình thành các mảng triglyceride bám trên động mạch, giúp giảm nguy cơ gây xơ vữa động mạch. |
||
| b) Số liên kết π trong một phân tử X và Y lần lượt là 4 và 5. |
||
| c) Thực hiện phản ứng hydrogen hóa hai chất X và Y trên thu được cùng một sản phẩm. |
||
| d) X và Y đều là chất béo. |
Đáp án đúng là: S; S; Đ; Đ
Quảng cáo
a) Vai trò của X, Y
b), d) Cấu tạo của X, Y
c) Tính chất hoá học của X, Y
Đáp án cần chọn là: S; S; Đ; Đ
>> 2K9 Chú ý! Lộ Trình Sun 2027 - 1 lộ trình ôn đa kỳ thi (TN THPT, ĐGNL (Hà Nội/ Hồ Chí Minh), ĐGNL Sư Phạm, ĐGTD, ĐGNL Bộ Công an, ĐGNL Bộ Quốc phòngTD - Click xem ngay) tại Tuyensinh247.com. Cập nhật bám sát bộ SGK mới, Thầy Cô giáo giỏi, 3 bước chi tiết: Nền tảng lớp 12; Luyện thi chuyên sâu; Luyện đề đủ dạng đáp ứng mọi kì thi.
![]() |
![]() |
![]() |
![]() |
![]() |
![]() |
![]() |
![]() |
Hỗ trợ - Hướng dẫn
-
024.7300.7989
-
1800.6947
(Thời gian hỗ trợ từ 7h đến 22h)
Email: lienhe@tuyensinh247.com












