Aspirin là một hợp chất được sử dụng làm giảm đau, hạ sốt. Sau khi uống, aspirin
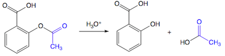
Aspirin là một hợp chất được sử dụng làm giảm đau, hạ sốt. Sau khi uống, aspirin bị thủy phân trong cơ thể sẽ tạo thành acid salicylic. Salicylic acid ức chế quá trình sinh tổng hợp prostaglandin (chất gây đau, sốt và viêm khi nồng độ trong máu cao hơn mức bình thường).

| Đúng | Sai | |
|---|---|---|
| a) Công thức phân tử của aspirin là C9H8O4. | ||
| b) Trong một phân tử aspirin có chứa 4 liên kết π. | ||
| c) 1 mol salicylic acid tác dụng tối đa với 2 mol NaOH trong dung dịch. | ||
| d) Thủy phân aspirin trong môi trường base thu được muối carboxylate và alcohol. |
Đáp án đúng là: Đ; S; Đ; S
Quảng cáo
Dựa vào công thức cấu tạo và tính chất hóa học của nhóm chức trong phân tử aspirin.
Đáp án cần chọn là: Đ; S; Đ; S
>> 2K9 Chú ý! Lộ Trình Sun 2027 - 1 lộ trình ôn đa kỳ thi (TN THPT, ĐGNL (Hà Nội/ Hồ Chí Minh), ĐGNL Sư Phạm, ĐGTD, ĐGNL Bộ Công an, ĐGNL Bộ Quốc phòngTD - Click xem ngay) tại Tuyensinh247.com. Cập nhật bám sát bộ SGK mới, Thầy Cô giáo giỏi, 3 bước chi tiết: Nền tảng lớp 12; Luyện thi chuyên sâu; Luyện đề đủ dạng đáp ứng mọi kì thi.
![]() |
![]() |
![]() |
![]() |
![]() |
![]() |
![]() |
![]() |
Hỗ trợ - Hướng dẫn
-
024.7300.7989
-
1800.6947
(Thời gian hỗ trợ từ 7h đến 22h)
Email: lienhe@tuyensinh247.com












