Saccharose được sử dụng như một chất làm ngọt phổ biến trong sản xuất thực phẩm,
Saccharose được sử dụng như một chất làm ngọt phổ biến trong sản xuất thực phẩm, có trong nhiều loài thực vật, có nhiều nhất trong cây mía, củ cải đường và hoa thốt nốt.
Tiến hành thí nghiệm theo các bước sau:
Bước 1: Cho khoảng 2 mL dung dịch NaOH 10% vào ống nghiệm. Sau đó, thêm khoảng 0,5 mL dung dịch CuSO4 5% vào, lắc nhẹ.
Bước 2: Cho khoảng 3 mL dung dịch saccharose 5% vào ống nghiệm, lắc đều, được dung dịch X.
Bước 3: Đun nóng dung dịch X.
| Đúng | Sai | |
|---|---|---|
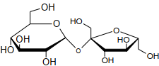
a) Công thức cấu tạo của saccharose là![]() |
||
| b) Bước 1 xuất hiện kết tủa màu xanh, bước 2 thu được dung dịch X có màu vàng. | ||
| c) Do trong phân tử saccharose không còn nhóm –OH hemiacetal và nhóm –OH hemiketal nên ở bước 3 không thấy xuất hiện kết tủa màu đỏ gạch. | ||
| d) Nếu bước 1 thay dung dịch CuSO4 bằng dung dịch FeSO4 thì hiện tượng ở bước 2 vẫn tương tự. |
Đáp án đúng là: Đ; S; Đ; S
Quảng cáo
Lý thuyết về đặc điểm cấu tạo và tính chất hóa học của saccharose.
Đáp án cần chọn là: Đ; S; Đ; S
>> 2K9 Chú ý! Lộ Trình Sun 2027 - 1 lộ trình ôn đa kỳ thi (TN THPT, ĐGNL (Hà Nội/ Hồ Chí Minh), ĐGNL Sư Phạm, ĐGTD, ĐGNL Bộ Công an, ĐGNL Bộ Quốc phòngTD - Click xem ngay) tại Tuyensinh247.com. Cập nhật bám sát bộ SGK mới, Thầy Cô giáo giỏi, 3 bước chi tiết: Nền tảng lớp 12; Luyện thi chuyên sâu; Luyện đề đủ dạng đáp ứng mọi kì thi.
![]() |
![]() |
![]() |
![]() |
![]() |
![]() |
![]() |
![]() |
Hỗ trợ - Hướng dẫn
-
024.7300.7989
-
1800.6947
(Thời gian hỗ trợ từ 7h đến 22h)
Email: lienhe@tuyensinh247.com













