β-carotene có rất nhiều trong rau quả xanh và vàng đặc biệt là ở quả gấc, cà rốt… β
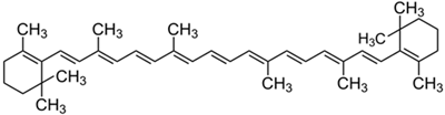
β-carotene có rất nhiều trong rau quả xanh và vàng đặc biệt là ở quả gấc, cà rốt… β -carotene được cơ thể chuyển hóa thành vitamin A rất cần thiết cho cơ thể. Công thức cấu tạo của β -carotene là

Thực hiện thí nghiệm tách β -carotene từ nước ép cà rốt như sau:
- Chuẩn bị: nước ép cà rốt, hexane; cốc thuỷ tinh 100 mL, bình tam giác 100 mL, phễu chiết 60 mL, giá thí nghiệm.
- Tiến hành:
Bước 1: Cho khoảng 20 mL nước ép cà rốt vào phễu chiết. Thêm tiếp khoảng 20 mL hexane, lắc đều khoảng 2 phút.
Bước 2: Để yên phễu chiết trên giá thí nghiệm khoảng 5 phút để chất lỏng tách thành hai lớp.
Bước 3: Mở khoá phễu chiết cho phần nước ở dưới chảy xuống, còn lại phần dung dịch β -carotene hoà tan trong hexane.
| Đúng | Sai | |
|---|---|---|
| a) Trước khi chiết lớp hexane trong phễu không có màu, sau khi chiết lớp hexane trong phễu có màu vàng cam. | ||
| b) Thí nghiệm tách β-carotene từ nước cà rốt dựa theo nguyên tắc chiết lỏng – lỏng. | ||
| c) Phân tử carotene có công thức phân tử là C40H56 và có 11 liên kếtπ. | ||
| d) β -carotene được tách ra khỏi nước dựa trên tính chất tan ít trong nước, tan nhiều trong dung môi hữu cơ. |
Đáp án đúng là: Đ; Đ; Đ; Đ
Quảng cáo
a) Dựa vào màu sắc của hexane và β -carotene.
b) Dựa vào độ tan khác nhau của β -carotene và hexane.
c) Dựa vào công thức cấu tạo của β -carotene.
d) Lí thuyết về tính chất vật lí của β -carotene.
Đáp án cần chọn là: Đ; Đ; Đ; Đ
>> 2K9 Chú ý! Lộ Trình Sun 2027 - 1 lộ trình ôn đa kỳ thi (TN THPT, ĐGNL (Hà Nội/ Hồ Chí Minh), ĐGNL Sư Phạm, ĐGTD, ĐGNL Bộ Công an, ĐGNL Bộ Quốc phòngTD - Click xem ngay) tại Tuyensinh247.com. Cập nhật bám sát bộ SGK mới, Thầy Cô giáo giỏi, 3 bước chi tiết: Nền tảng lớp 12; Luyện thi chuyên sâu; Luyện đề đủ dạng đáp ứng mọi kì thi.
![]() |
![]() |
![]() |
![]() |
![]() |
![]() |
![]() |
![]() |
Hỗ trợ - Hướng dẫn
-
024.7300.7989
-
1800.6947
(Thời gian hỗ trợ từ 7h đến 22h)
Email: lienhe@tuyensinh247.com












