Salbutamol là một hợp chất hữu cơ có hoạt tính sinh học cao. Bên cạnh tác dụng chính dùng trong
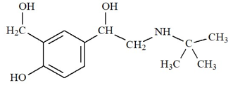
Salbutamol là một hợp chất hữu cơ có hoạt tính sinh học cao. Bên cạnh tác dụng chính dùng trong y học, salbutamol còn sử dụng làm doping trong thi đấu thể thao. Trong thi đấu thể thao vận động viên sử dụng salbutamol với liều lượng vượt quá 20 µg/kg trong vòng 24h được coi là sử dụng doping (Tổ chức phòng chống Doping thế giới, WADA). Salbutamol có công thức cấu tạo như hình dưới.

Salbutamol có những tính chất hóa học đặc trưng như sau: 2 nhóm OH liên kết trực tiếp với nguyên tử carbon no (nhóm chức -OH alcohol) và 1 nhóm -OH liên kết trực tiếp với nguyên tử carbon của vòng benzene (nhóm chức -OH phenol). Sự khác biệt của hai loại nhóm chức này đó là nhóm -OH phenol có lực acid mạnh hơn nhóm -OH alcohol, chúng đều phản ứng với Na kim loại và sản phẩm là sodium alcoholate và sodium phenolate, nhưng phenol còn có khả năng phản ứng với dung dịch NaOH còn alcohol không có phản ứng này. Một tính chất khác biệt nữa đó là nhóm -OH alcohol có khả năng bị thay thế với nguyên tử bromine (Br) khi cho tác dụng với acid HBr mà nhóm -OH phenol không có tính chất này. Ngoài ra, cấu tạo của salbutamol còn có một nhóm amine bậc 2 (R-NH-R' trong đó R và R' là các gốc hydrocarbon) mang tính chất hóa học của một base, có khả năng tạo muối $\text{R(R')NH}_{2}^{+}\text{Br}^{-}$ khi cho tác dụng với acid HBr.
| Đúng | Sai | |
|---|---|---|
| a) Salbutamol tác dụng với NaOH theo tỉ lệ mol 1 : 3. | ||
| b) Một vận động viên thể thao có cân nặng 80 kg thì trong vòng 24h chỉ được sử dụng liều tối đa là 1600 μg salbutamol? | ||
| c) Salbutamol có khả năng phản ứng với dung dịch Br2 ở điều kiện thường. | ||
| d) Salbutamol có công thức phân tử là C13H22NO3 và tác dụng với Na theo tỉ lệ mol 1 : 3. |
Đáp án đúng là: S; Đ; S; Đ
Quảng cáo
Phân tích dữ kiện của đoạn văn trên.
a) Phản ứng với NaOH ⟶ nhóm OH của phenol.
b) Khối lượng salbutamol tối đa = Cân nặng của vận động viên x 20 $\mu\text{g/kg}$
c) Dựa vào tính chất hóa học của nhóm chức trong salbutamol.
d) Phản ứng với Na ⟶ nhóm OH.
Đáp án cần chọn là: S; Đ; S; Đ
>> 2K9 Chú ý! Lộ Trình Sun 2027 - 1 lộ trình ôn đa kỳ thi (TN THPT, ĐGNL (Hà Nội/ Hồ Chí Minh), ĐGNL Sư Phạm, ĐGTD, ĐGNL Bộ Công an, ĐGNL Bộ Quốc phòngTD - Click xem ngay) tại Tuyensinh247.com. Cập nhật bám sát bộ SGK mới, Thầy Cô giáo giỏi, 3 bước chi tiết: Nền tảng lớp 12; Luyện thi chuyên sâu; Luyện đề đủ dạng đáp ứng mọi kì thi.
![]() |
![]() |
![]() |
![]() |
![]() |
![]() |
![]() |
![]() |
Hỗ trợ - Hướng dẫn
-
024.7300.7989
-
1800.6947
(Thời gian hỗ trợ từ 7h đến 22h)
Email: lienhe@tuyensinh247.com












