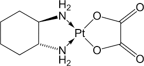
Oxaliplatin là thành phần chính của thuốc chống ung thư eloxatin, có công thức cấu tạo như hình
Oxaliplatin là thành phần chính của thuốc chống ung thư eloxatin, có công thức cấu tạo như hình bên. Số phối tử xung quanh một nguyên tử trung tâm trong phân tử oxaliplatin là

Đáp án đúng là: B
Quảng cáo
Phối tử là chất hoặc ion có chứa cặp electron tự do, có khả năng cho cặp electron này vào orbital trống của nguyên tử trung tâm.
Đáp án cần chọn là: B
>> 2K9 Chú ý! Lộ Trình Sun 2027 - 1 lộ trình ôn đa kỳ thi (TN THPT, ĐGNL (Hà Nội/ Hồ Chí Minh), ĐGNL Sư Phạm, ĐGTD, ĐGNL Bộ Công an, ĐGNL Bộ Quốc phòngTD - Click xem ngay) tại Tuyensinh247.com. Cập nhật bám sát bộ SGK mới, Thầy Cô giáo giỏi, 3 bước chi tiết: Nền tảng lớp 12; Luyện thi chuyên sâu; Luyện đề đủ dạng đáp ứng mọi kì thi.
![]() |
![]() |
![]() |
![]() |
![]() |
![]() |
![]() |
![]() |
Hỗ trợ - Hướng dẫn
-
024.7300.7989
-
1800.6947
(Thời gian hỗ trợ từ 7h đến 22h)
Email: lienhe@tuyensinh247.com












