Aspirin (acetylsalicylic acid) là thuốc giảm đau, hạ sốt, chống viêm phổ biến, được điều chế
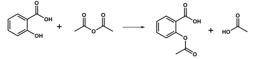
Aspirin (acetylsalicylic acid) là thuốc giảm đau, hạ sốt, chống viêm phổ biến, được điều chế bằng phản ứng giữa salicylic acid và anhydride acetic theo phương trình hoá học sau:

Nghiên cứu cho thấy nhiệt độ thực hiện thí nghiệm ảnh hưởng đến hiệu suất phản ứng này như sau:

Trong thí nghiệm điều chế aspirin, hỗn hợp gồm 2,000 gam salicylic acid và lượng dư anhydride acetic được đun nóng ở 60 °C với xúc tác thích hợp. Nếu thực hiện thí nghiệm theo quy trình của nghiên cứu trên, lượng aspirin dự kiến thu được sau phản ứng là m gam.
Tính giá trị của m (làm tròn đến một chữ số thập phân).
Đáp án đúng là: 1,88
Quảng cáo
Tại nhiệt độ 60oC, hiệu suất phản ứng đạt 72,2%
$n_{salicylic\, acid}\overset{H = 72,2\%}{\rightarrow}n_{aspirin}\overset{}{\rightarrow}m_{aspirin}$
Đáp án cần điền là: 1,88
>> 2K9 Chú ý! Lộ Trình Sun 2027 - 1 lộ trình ôn đa kỳ thi (TN THPT, ĐGNL (Hà Nội/ Hồ Chí Minh), ĐGNL Sư Phạm, ĐGTD, ĐGNL Bộ Công an, ĐGNL Bộ Quốc phòngTD - Click xem ngay) tại Tuyensinh247.com. Cập nhật bám sát bộ SGK mới, Thầy Cô giáo giỏi, 3 bước chi tiết: Nền tảng lớp 12; Luyện thi chuyên sâu; Luyện đề đủ dạng đáp ứng mọi kì thi.
![]() |
![]() |
![]() |
![]() |
![]() |
![]() |
![]() |
![]() |
Hỗ trợ - Hướng dẫn
-
024.7300.7989
-
1800.6947
(Thời gian hỗ trợ từ 7h đến 22h)
Email: lienhe@tuyensinh247.com












