Phương pháp Haber (hay phản ứng Haber) là một phản ứng hóa học được áp dụng trong công
Phương pháp Haber (hay phản ứng Haber) là một phản ứng hóa học được áp dụng trong công nghiệp sản xuất ammonia từ nitrogen và hydrogen. Đến này phản ứng này là chìa khóa trong sản xuất phân bón, giúp đảm bảo an ninh lương thực toàn cầu.
${{N}_{2}}+3{{H}_{2}}\xrightarrow{{}}2N{{H}_{3}}\,\,\,\,\,\,\,\,\,\,\,\,\,{{\Delta }_{r}}H=-92,4kJ/mol$

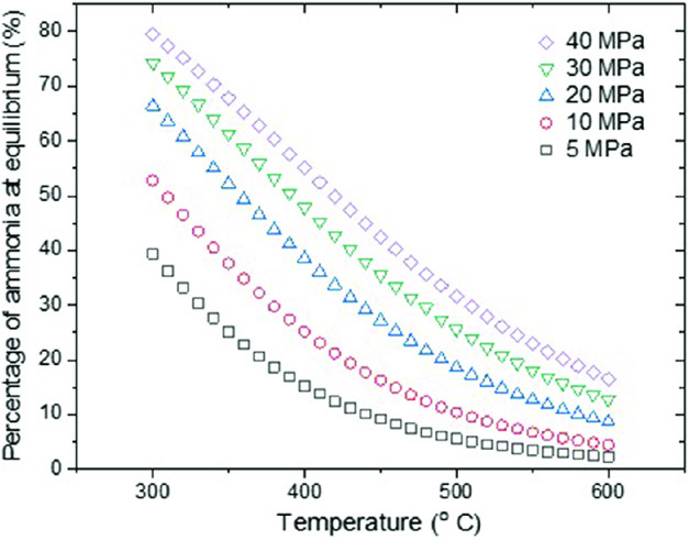
Hình 1. Ảnh hưởng của nhiệt độ và áp suất đến phần trăm amoniac ở trạng thái cân bằng được tái tạo từ Max Appl “Ammonia, 2. Quy trình sản xuất”.

Hình 2. Tốc độ tổng hợp ammonia và tỉ lệ sản phẩm khi dùng các hệ xúc tác của Ru
Trả lời cho các câu 1, 2, 3, 4 dưới đây:
Ở 10 MPa và 500oC, phần trăm NH3 tại thời điểm cân bằng chiểm khoảng bao nhiêu phần trăm?
Đáp án đúng là: B
Quan sát đồ thị, xác định phần trăm NH3 tồn tại tại thời điểm cân bằng.
Đáp án cần chọn là: B
Hình 1 cho thấy khi tăng nhiệt độ, phần trăm NH₃ cân bằng giảm. Dựa vào đó, kết luận nào sau đây hợp lý nhất về phản ứng Haber?
Đáp án đúng là: A
Dựa vào thông tin bài đọc, xu hướng thay đổi tỉ lệ NH3 ở trạng thái cân bằng tại các áp suất khác nhau.
Đáp án cần chọn là: A
Hệ xúc tác tối ưu được sử dụng trong quá trình tổng hợp ammonia là
Đáp án đúng là: C
Dựa vào hình 2, xác định xúc tác có hiệu suất tốt nhất.
Đáp án cần chọn là: C
Một nhà máy muốn tăng tối đa lượng NH₃ thu được, nhưng chi phí nén khí (tăng áp suất) rất cao. Dựa vào Hình 1, lựa chọn nào hiệu quả nhất về mặt kinh tế – kỹ thuật?
Đáp án đúng là: B
Dựa vào thông tin trong hình 1, 2 xác định điều kiện tối ưu tổng hợp NH3.
Đáp án cần chọn là: B
Quảng cáo
>> 2K9 Chú ý! Lộ Trình Sun 2027 - 1 lộ trình ôn đa kỳ thi (TN THPT, ĐGNL (Hà Nội/ Hồ Chí Minh), ĐGNL Sư Phạm, ĐGTD, ĐGNL Bộ Công an, ĐGNL Bộ Quốc phòngTD - Click xem ngay) tại Tuyensinh247.com. Cập nhật bám sát bộ SGK mới, Thầy Cô giáo giỏi, 3 bước chi tiết: Nền tảng lớp 12; Luyện thi chuyên sâu; Luyện đề đủ dạng đáp ứng mọi kì thi.
![]() |
![]() |
![]() |
![]() |
![]() |
![]() |
![]() |
![]() |
Hỗ trợ - Hướng dẫn
-
024.7300.7989
-
1800.6947
(Thời gian hỗ trợ từ 7h đến 22h)
Email: lienhe@tuyensinh247.com












