Đặt điện áp u = U0cos100πt vào hai đầu đoạn mạch AB theo thứ tự gồm một tụ điện C, cuộn
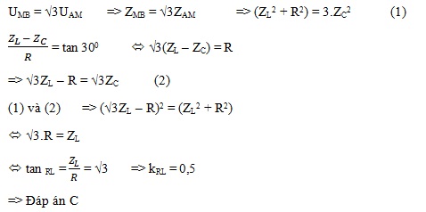
Đặt điện áp u = U0cos100πt vào hai đầu đoạn mạch AB theo thứ tự gồm một tụ điện C, cuộn cảm thuần L và điện trở thuần R mắc nối tiếp. Gọi M là điểm nối giữa tụ điện và cuộn cảm. Biết điện áp hiệu dụng của đoạn mạch MB gấp √3 lần điện áp hiệu dụng của đoạn mạch AM và cường độ dòng điện lệch pha π/6 so với điện áp hai đầu đoạn mạch. Hệ số công suất của đoạn mạch MB là
Đáp án đúng là: C
Quảng cáo
Đáp án cần chọn là: C
>> 2K9 Chú ý! Lộ Trình Sun 2027 - 1 lộ trình ôn đa kỳ thi (TN THPT, ĐGNL (Hà Nội/ Hồ Chí Minh), ĐGNL Sư Phạm, ĐGTD, ĐGNL Bộ Công an, ĐGNL Bộ Quốc phòngTD - Click xem ngay) tại Tuyensinh247.com. Cập nhật bám sát bộ SGK mới, Thầy Cô giáo giỏi, 3 bước chi tiết: Nền tảng lớp 12; Luyện thi chuyên sâu; Luyện đề đủ dạng đáp ứng mọi kì thi.
![]() |
![]() |
![]() |
![]() |
![]() |
![]() |
![]() |
![]() |
Hỗ trợ - Hướng dẫn
-
024.7300.7989
-
1800.6947
(Thời gian hỗ trợ từ 7h đến 22h)
Email: lienhe@tuyensinh247.com













