Lần lượt mắc điện áp xoay chiều u = U√2cosωt vào hai đầu cuộn cảm thuần L và tụ điện C
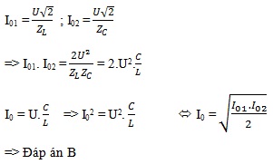
Lần lượt mắc điện áp xoay chiều u = U√2cosωt vào hai đầu cuộn cảm thuần L và tụ điện C thì cường độ dòng điện cực đại qua các phần tử tương ứng là I01 và I02. Dùng cuộn cảm L và tụ điện C nối trên mắc thành mạch dao động LC mạch thực hiện dao động điện từ với hiệu điện thế cực đại là U. Khi đó cường độ dòng điện cực đại qua cuộn dây là:
Đáp án đúng là: B
Quảng cáo
Đáp án cần chọn là: B
>> 2K9 Chú ý! Lộ Trình Sun 2027 - 1 lộ trình ôn đa kỳ thi (TN THPT, ĐGNL (Hà Nội/ Hồ Chí Minh), ĐGNL Sư Phạm, ĐGTD, ĐGNL Bộ Công an, ĐGNL Bộ Quốc phòngTD - Click xem ngay) tại Tuyensinh247.com. Cập nhật bám sát bộ SGK mới, Thầy Cô giáo giỏi, 3 bước chi tiết: Nền tảng lớp 12; Luyện thi chuyên sâu; Luyện đề đủ dạng đáp ứng mọi kì thi.
![]() |
![]() |
![]() |
![]() |
![]() |
![]() |
![]() |
![]() |
Hỗ trợ - Hướng dẫn
-
024.7300.7989
-
1800.6947
(Thời gian hỗ trợ từ 7h đến 22h)
Email: lienhe@tuyensinh247.com













