Nối hai cực của một máy phát điện xoay chiều một pha vào hai đầu đoạn mạch nối tiếp gồm
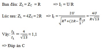
Nối hai cực của một máy phát điện xoay chiều một pha vào hai đầu đoạn mạch nối tiếp gồm điện trở thuần R, cuộn dây cảm thuần L và tụ điện C. Bỏ qua điện trở các cuộn dây máy phát. Khi rôto của máy quay đều với tốc độ n vòng/phút thì cảm kháng bằng dung kháng và bằng điện trở thuần R. Nếu rôto của máy quay đều với tốc độ 2n vòng/phút thì cường độ dòng điện hiệu dụng trong mạch sẽ
Đáp án đúng là: C
Quảng cáo
Đáp án cần chọn là: C
>> 2K9 Chú ý! Lộ Trình Sun 2027 - 1 lộ trình ôn đa kỳ thi (TN THPT, ĐGNL (Hà Nội/ Hồ Chí Minh), ĐGNL Sư Phạm, ĐGTD, ĐGNL Bộ Công an, ĐGNL Bộ Quốc phòngTD - Click xem ngay) tại Tuyensinh247.com. Cập nhật bám sát bộ SGK mới, Thầy Cô giáo giỏi, 3 bước chi tiết: Nền tảng lớp 12; Luyện thi chuyên sâu; Luyện đề đủ dạng đáp ứng mọi kì thi.
![]() |
![]() |
![]() |
![]() |
![]() |
![]() |
![]() |
![]() |
Hỗ trợ - Hướng dẫn
-
024.7300.7989
-
1800.6947
(Thời gian hỗ trợ từ 7h đến 22h)
Email: lienhe@tuyensinh247.com













