Điện năng từ một trạm phát điện được đưa đến một khu tái định cư bằng đường
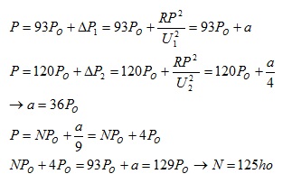
Điện năng từ một trạm phát điện được đưa đến một khu tái định cư bằng đường dây truyền tải một pha. Nếu điện áp tại nơi truyền tải tăng từ U lên 2U thì số hộ dân được trạm cung cấp đủ công suất điện tăng từ 93 hộ lên 120 hộ. Coi rằng công suất điện truyền đi từ trạm phát không đổi, công suất tiêu thụ điện của mỗi hộ dân như nhau và không đổi. Hệ số công suất trên đường truyền tải không đổi. Khi tăng điện áp tại nơi truyền tải lên 3U thì số hộ dân được trạm phát cung cấp đủ công suất điện sẽ là :
Đáp án đúng là: B
Quảng cáo
Đáp án cần chọn là: B
>> 2K9 Chú ý! Lộ Trình Sun 2027 - 1 lộ trình ôn đa kỳ thi (TN THPT, ĐGNL (Hà Nội/ Hồ Chí Minh), ĐGNL Sư Phạm, ĐGTD, ĐGNL Bộ Công an, ĐGNL Bộ Quốc phòngTD - Click xem ngay) tại Tuyensinh247.com. Cập nhật bám sát bộ SGK mới, Thầy Cô giáo giỏi, 3 bước chi tiết: Nền tảng lớp 12; Luyện thi chuyên sâu; Luyện đề đủ dạng đáp ứng mọi kì thi.
![]() |
![]() |
![]() |
![]() |
![]() |
![]() |
![]() |
![]() |
Hỗ trợ - Hướng dẫn
-
024.7300.7989
-
1800.6947
(Thời gian hỗ trợ từ 7h đến 22h)
Email: lienhe@tuyensinh247.com













