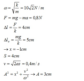
Một con lắc lò xo gồm vật nhỏ khối lượng m = 100 g được treo vào đầu tự do của một lò xo
Một con lắc lò xo gồm vật nhỏ khối lượng m = 100 g được treo vào đầu tự do của một lò xo có độ cứng k = 20 N/m. Vật m được đặt trên một giá đỡ nằm ngang M tại vị trí lò xo không biến dạng. Cho giá đỡ M chuyển động nhanh dần đều xuống dưới với gia tốc 2 m/
. Lấy g = 10 m/
. Biên độ dao động của m sau khi nó rời khỏi giá đỡ bằng ?
Đáp án đúng là: A
Quảng cáo
Đáp án cần chọn là: A
>> 2K9 Chú ý! Lộ Trình Sun 2027 - 1 lộ trình ôn đa kỳ thi (TN THPT, ĐGNL (Hà Nội/ Hồ Chí Minh), ĐGNL Sư Phạm, ĐGTD, ĐGNL Bộ Công an, ĐGNL Bộ Quốc phòngTD - Click xem ngay) tại Tuyensinh247.com. Cập nhật bám sát bộ SGK mới, Thầy Cô giáo giỏi, 3 bước chi tiết: Nền tảng lớp 12; Luyện thi chuyên sâu; Luyện đề đủ dạng đáp ứng mọi kì thi.
![]() |
![]() |
![]() |
![]() |
![]() |
![]() |
![]() |
![]() |
Hỗ trợ - Hướng dẫn
-
024.7300.7989
-
1800.6947
(Thời gian hỗ trợ từ 7h đến 22h)
Email: lienhe@tuyensinh247.com













