Khi đặt một điện áp xoay chiều có giá trị hiệu dụng không đổi vào cuộn sơ cấp của một
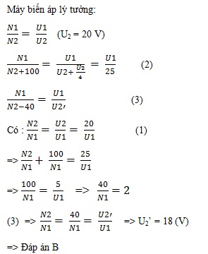
Khi đặt một điện áp xoay chiều có giá trị hiệu dụng không đổi vào cuộn sơ cấp của một máy biến áp lí tưởng thì điện áp cuộn thứ cấp là 20V. Khi tăng số vòng dây cuộn thứ cấp thêm 100 vòng thì điện áp thứ cấp tăng thêm 25%. Khi giảm số vòng dây cuộn thứ cấp 40 vòng thì điện áp trên hai đầu dây cuộn thứ cấp là:
Đáp án đúng là: B
Quảng cáo
Đáp án cần chọn là: B
>> 2K9 Chú ý! Lộ Trình Sun 2027 - 1 lộ trình ôn đa kỳ thi (TN THPT, ĐGNL (Hà Nội/ Hồ Chí Minh), ĐGNL Sư Phạm, ĐGTD, ĐGNL Bộ Công an, ĐGNL Bộ Quốc phòngTD - Click xem ngay) tại Tuyensinh247.com. Cập nhật bám sát bộ SGK mới, Thầy Cô giáo giỏi, 3 bước chi tiết: Nền tảng lớp 12; Luyện thi chuyên sâu; Luyện đề đủ dạng đáp ứng mọi kì thi.
![]() |
![]() |
![]() |
![]() |
![]() |
![]() |
![]() |
![]() |
Hỗ trợ - Hướng dẫn
-
024.7300.7989
-
1800.6947
(Thời gian hỗ trợ từ 7h đến 22h)
Email: lienhe@tuyensinh247.com













