Đặt điện áp xoay chiều có giá trị hiệu dung không đổi 150 V vào đoạn mạch AMB gồm đoạn
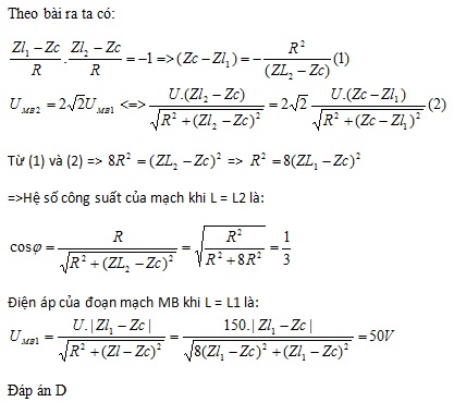
Đặt điện áp xoay chiều có giá trị hiệu dung không đổi 150 V vào đoạn mạch AMB gồm đoạn mạch AM chỉ chứa điện trở thuần R, đoạn mạch MB chứa tụ điện mắc nối tiếp với cuộn thuần cảm thay đổi được L. Biết khi L = L2 thì điện áp hiệu dụng hai đầu đoạn mạch MB tăng 2√2 lần so với khi L = L1 và dòng điện trong hai trường hợp lệch pha nhau góc π/2. Tìm hiệu điện thế đặt vào hai đầu đoạn mạch MB khi L = L1. Tính hệ số công suất của mạch khi L = L2.
Đáp án đúng là: D
Quảng cáo
Đáp án cần chọn là: D
>> 2K9 Chú ý! Lộ Trình Sun 2027 - 1 lộ trình ôn đa kỳ thi (TN THPT, ĐGNL (Hà Nội/ Hồ Chí Minh), ĐGNL Sư Phạm, ĐGTD, ĐGNL Bộ Công an, ĐGNL Bộ Quốc phòngTD - Click xem ngay) tại Tuyensinh247.com. Cập nhật bám sát bộ SGK mới, Thầy Cô giáo giỏi, 3 bước chi tiết: Nền tảng lớp 12; Luyện thi chuyên sâu; Luyện đề đủ dạng đáp ứng mọi kì thi.
![]() |
![]() |
![]() |
![]() |
![]() |
![]() |
![]() |
![]() |
Hỗ trợ - Hướng dẫn
-
024.7300.7989
-
1800.6947
(Thời gian hỗ trợ từ 7h đến 22h)
Email: lienhe@tuyensinh247.com













