Trên đoạn mạch xoay chiều không phân nhánh có 4 điểm theo thứ tự A, M, N, B. Giữa hai điểm A, M
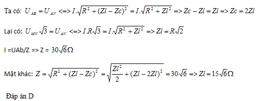
Trên đoạn mạch xoay chiều không phân nhánh có 4 điểm theo thứ tự A, M, N, B. Giữa hai điểm A, M chỉ có cuộn dây không thuần cảm, giữa M,N có điện trở thuần R, giữa hai điểm N, B chỉ có tụ điện. Điện áp hiệu dụng trên các đoạn mạch thỏa mãn : UAB = UAN = √3UMN = 120 √3 V. Dòng điện hiệu dụng trong mạch là 2 √2 V. Điện áp tức thời trên AN và treen AB lệch pha nhau một góc đúng bằng góc lệch pha giữa điện áp tức thời trên AM và dòng điện. Tính cảm kháng của cuộn dây.
Đáp án đúng là: D
Quảng cáo
Đáp án cần chọn là: D
>> 2K9 Chú ý! Lộ Trình Sun 2027 - 1 lộ trình ôn đa kỳ thi (TN THPT, ĐGNL (Hà Nội/ Hồ Chí Minh), ĐGNL Sư Phạm, ĐGTD, ĐGNL Bộ Công an, ĐGNL Bộ Quốc phòngTD - Click xem ngay) tại Tuyensinh247.com. Cập nhật bám sát bộ SGK mới, Thầy Cô giáo giỏi, 3 bước chi tiết: Nền tảng lớp 12; Luyện thi chuyên sâu; Luyện đề đủ dạng đáp ứng mọi kì thi.
![]() |
![]() |
![]() |
![]() |
![]() |
![]() |
![]() |
![]() |
Hỗ trợ - Hướng dẫn
-
024.7300.7989
-
1800.6947
(Thời gian hỗ trợ từ 7h đến 22h)
Email: lienhe@tuyensinh247.com













