Mạch điện xoay chiều R, L, C mắc nối tiếp. Điện áp ở hai đầu đoạn mạch là u = U0cos ωt.
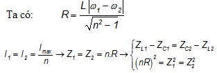
Mạch điện xoay chiều R, L, C mắc nối tiếp. Điện áp ở hai đầu đoạn mạch là u = U0cos ωt. Chỉ có ω thay đổi được. Điều chỉnh ω thấy khi giá trị của nó là ω1 hoặc ω2 (ω2 < ω1) thì cường độ dòng điện hiệu dụng đều nhỏ hơn cường độ dòng điện hiệu dụng cực đại n lần (n > 1). Biểu thức tính R là
Đáp án đúng là: A
Quảng cáo
Đáp án cần chọn là: A
>> 2K9 Chú ý! Lộ Trình Sun 2027 - 1 lộ trình ôn đa kỳ thi (TN THPT, ĐGNL (Hà Nội/ Hồ Chí Minh), ĐGNL Sư Phạm, ĐGTD, ĐGNL Bộ Công an, ĐGNL Bộ Quốc phòngTD - Click xem ngay) tại Tuyensinh247.com. Cập nhật bám sát bộ SGK mới, Thầy Cô giáo giỏi, 3 bước chi tiết: Nền tảng lớp 12; Luyện thi chuyên sâu; Luyện đề đủ dạng đáp ứng mọi kì thi.
![]() |
![]() |
![]() |
![]() |
![]() |
![]() |
![]() |
![]() |
Hỗ trợ - Hướng dẫn
-
024.7300.7989
-
1800.6947
(Thời gian hỗ trợ từ 7h đến 22h)
Email: lienhe@tuyensinh247.com













