Con lắc lò xo treo thẳng đứng có vật nhỏ m, lò xo có độ cứng k=100N/m. Vật đang treo ở vị
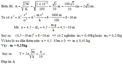
Con lắc lò xo treo thẳng đứng có vật nhỏ m, lò xo có độ cứng k=100N/m. Vật đang treo ở vị trí cân bằng thì được kéo tới vị trí lò xo dãn 4,5cm rồi truyền cho vật vận tốc 40cm/s theo phương thẳng đứng; lúc này vật dao động điều hòa với cơ năng W=40mJ. Lấy g=10m/s2. Chu kì dao động là
Đáp án đúng là: A
Quảng cáo
Đáp án cần chọn là: A
>> 2K9 Chú ý! Lộ Trình Sun 2027 - 1 lộ trình ôn đa kỳ thi (TN THPT, ĐGNL (Hà Nội/ Hồ Chí Minh), ĐGNL Sư Phạm, ĐGTD, ĐGNL Bộ Công an, ĐGNL Bộ Quốc phòngTD - Click xem ngay) tại Tuyensinh247.com. Cập nhật bám sát bộ SGK mới, Thầy Cô giáo giỏi, 3 bước chi tiết: Nền tảng lớp 12; Luyện thi chuyên sâu; Luyện đề đủ dạng đáp ứng mọi kì thi.
![]() |
![]() |
![]() |
![]() |
![]() |
![]() |
![]() |
![]() |
Hỗ trợ - Hướng dẫn
-
024.7300.7989
-
1800.6947
(Thời gian hỗ trợ từ 7h đến 22h)
Email: lienhe@tuyensinh247.com













