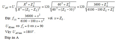
Cho đoạn mạch nối tiếp AB gồm: đoạn AM chứa điện trở thuần R = 60Ω, đoạn MN chứa cuộn
Cho đoạn mạch nối tiếp AB gồm: đoạn AM chứa điện trở thuần R = 60Ω, đoạn MN chứa cuộn dây cảm thuần và độ tự cảm L thay đổi được, đoạn mạch MB chứa tụ điện có điện dung C =
. Đặt vào hai đầu đoạn mạch một điện áp xoay chiều ổn định có biểu thức uAB = 120√2cos(100πt + π) (V). Điều chỉnh L đến giá trị L = L0 thì điện áp hiệu dụng hai đầu đoạn mạch AN lớn nhất bằng
Đáp án đúng là: A
Quảng cáo
Đáp án cần chọn là: A
>> 2K9 Chú ý! Lộ Trình Sun 2027 - 1 lộ trình ôn đa kỳ thi (TN THPT, ĐGNL (Hà Nội/ Hồ Chí Minh), ĐGNL Sư Phạm, ĐGTD, ĐGNL Bộ Công an, ĐGNL Bộ Quốc phòngTD - Click xem ngay) tại Tuyensinh247.com. Cập nhật bám sát bộ SGK mới, Thầy Cô giáo giỏi, 3 bước chi tiết: Nền tảng lớp 12; Luyện thi chuyên sâu; Luyện đề đủ dạng đáp ứng mọi kì thi.
![]() |
![]() |
![]() |
![]() |
![]() |
![]() |
![]() |
![]() |
Hỗ trợ - Hướng dẫn
-
024.7300.7989
-
1800.6947
(Thời gian hỗ trợ từ 7h đến 22h)
Email: lienhe@tuyensinh247.com













