Trong thí nghiệm về giao thoa ánh sáng bước sóng ánh sáng bằng λ, khoảng cách từ hai khe đến
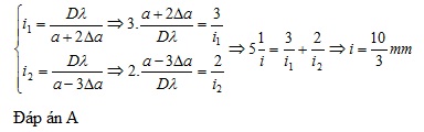
Trong thí nghiệm về giao thoa ánh sáng bước sóng ánh sáng bằng λ, khoảng cách từ hai khe đến màn là D. Biết khi khoảng cách giữa hai khe là a+2Δa thì khoảng vân bằng 3mm, khi khoảng cách giữa hai khe là a-3Δa thì khoảng vân là 4mm. Khi khoảng cách giữa hai khe là a thì khoảng vân bằng
Đáp án đúng là: A
Quảng cáo
Đáp án cần chọn là: A
>> 2K9 Chú ý! Lộ Trình Sun 2027 - 1 lộ trình ôn đa kỳ thi (TN THPT, ĐGNL (Hà Nội/ Hồ Chí Minh), ĐGNL Sư Phạm, ĐGTD, ĐGNL Bộ Công an, ĐGNL Bộ Quốc phòngTD - Click xem ngay) tại Tuyensinh247.com. Cập nhật bám sát bộ SGK mới, Thầy Cô giáo giỏi, 3 bước chi tiết: Nền tảng lớp 12; Luyện thi chuyên sâu; Luyện đề đủ dạng đáp ứng mọi kì thi.
![]() |
![]() |
![]() |
![]() |
![]() |
![]() |
![]() |
![]() |
Hỗ trợ - Hướng dẫn
-
024.7300.7989
-
1800.6947
(Thời gian hỗ trợ từ 7h đến 22h)
Email: lienhe@tuyensinh247.com













