Một vật đồng thời tham gia hai dao động điều hoà cùng phương cùng tần số có các phương
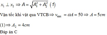
Một vật đồng thời tham gia hai dao động điều hoà cùng phương cùng tần số có các phương trình lần lượt là x1= 3cos(10t + π/3) cm, x2 = A2cos(10t – π/6) cm. Tốc độ của vật khi qua vị trí cân bằng là 50 cm/s. Biên độ dao động thành phần thứ hai là
Đáp án đúng là: C
Quảng cáo
Đáp án cần chọn là: C
>> 2K8 Chú ý! Lộ Trình Sun 2026 - 3IN1 - 1 lộ trình ôn 3 kì thi (Luyện thi 26+ TN THPT, 90+ ĐGNL HN, 900+ ĐGNL HCM, 70+ ĐGTD - Click xem ngay) tại Tuyensinh247.com.Đầy đủ theo 3 đầu sách, Thầy Cô giáo giỏi, luyện thi theo 3 giai đoạn: Nền tảng lớp 12, Luyện thi chuyên sâu, Luyện đề đủ dạng đáp ứng mọi kì thi.
![]() |
![]() |
![]() |
![]() |
![]() |
![]() |
![]() |
![]() |
Hỗ trợ - Hướng dẫn
-
024.7300.7989
-
1800.6947
(Thời gian hỗ trợ từ 7h đến 22h)
Email: lienhe@tuyensinh247.com













