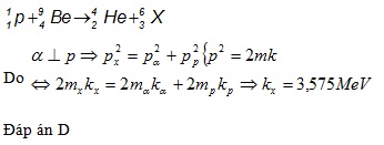
Người ta dùng prôton bắn phá hạt nhân Bêri đứng yên. Hai hạt sinh ra là Hêli () và X. Biết
Người ta dùng prôton bắn phá hạt nhân Bêri
đứng yên. Hai hạt sinh ra là Hêli (
) và X. Biết proton có động năng K= 5,45MeV, Hạt Hêli có vận tốc vuông góc với vận tốc của hạt prôton và có động năng KHe = 4MeV. Cho rằng độ lớn của khối lượng của một hạt nhân (đo bằng đơn vị u) xấp xỉ bằng số khối A của nó. Động năng của hạt X bằng
Đáp án đúng là: D
Quảng cáo
Đáp án cần chọn là: D
>> 2K9 Chú ý! Lộ Trình Sun 2027 - 1 lộ trình ôn đa kỳ thi (TN THPT, ĐGNL (Hà Nội/ Hồ Chí Minh), ĐGNL Sư Phạm, ĐGTD, ĐGNL Bộ Công an, ĐGNL Bộ Quốc phòngTD - Click xem ngay) tại Tuyensinh247.com. Cập nhật bám sát bộ SGK mới, Thầy Cô giáo giỏi, 3 bước chi tiết: Nền tảng lớp 12; Luyện thi chuyên sâu; Luyện đề đủ dạng đáp ứng mọi kì thi.
![]() |
![]() |
![]() |
![]() |
![]() |
![]() |
![]() |
![]() |
Hỗ trợ - Hướng dẫn
-
024.7300.7989
-
1800.6947
(Thời gian hỗ trợ từ 7h đến 22h)
Email: lienhe@tuyensinh247.com













