Đoạn mạch RLC nối tiếp được mắc vào hai cực của một máy phát điện xoay chiều 1 pha có
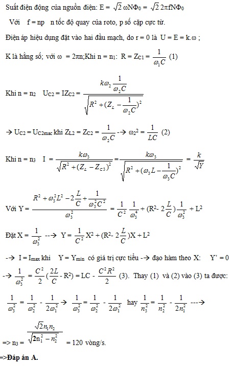
Đoạn mạch RLC nối tiếp được mắc vào hai cực của một máy phát điện xoay chiều 1 pha có roto là nam châm điện có một cặp cực ( bỏ qua điện trở thuần ở các cuộn dây của phần ứng). Biết khi roto quay với tốc độ n1=30 vòng/s thì dung kháng của tụ điện bằng R còn khi roto quay với tốc độ n2=40 vòng/s thì điện áp hiệu dụng trên tụ điện đạt cực đại.Để cường độ dòng điện hiệu dụng qua mạch đạt giá trị cực đại thì roto phải quay với tốc độ n3 bằng:
Đáp án đúng là: A
Quảng cáo
Đáp án cần chọn là: A
>> 2K9 Chú ý! Lộ Trình Sun 2027 - 1 lộ trình ôn đa kỳ thi (TN THPT, ĐGNL (Hà Nội/ Hồ Chí Minh), ĐGNL Sư Phạm, ĐGTD, ĐGNL Bộ Công an, ĐGNL Bộ Quốc phòngTD - Click xem ngay) tại Tuyensinh247.com. Cập nhật bám sát bộ SGK mới, Thầy Cô giáo giỏi, 3 bước chi tiết: Nền tảng lớp 12; Luyện thi chuyên sâu; Luyện đề đủ dạng đáp ứng mọi kì thi.
![]() |
![]() |
![]() |
![]() |
![]() |
![]() |
![]() |
![]() |
Hỗ trợ - Hướng dẫn
-
024.7300.7989
-
1800.6947
(Thời gian hỗ trợ từ 7h đến 22h)
Email: lienhe@tuyensinh247.com













