Theo mẫu nguyên từ Bo, trong nguyên tử hidro, khi êlectron ở quỹ đạo dừng thứ n thì năng lượng
Theo mẫu nguyên từ Bo, trong nguyên tử hidro, khi êlectron ở quỹ đạo dừng thứ n thì năng lượng của nguyên tử hiđrô được xác định bởi công thức En =
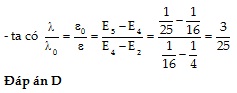
(eV) (với n = 1, 2, 3,…). Khi nguyển tử chuyển từ quỹ đạo dừng n = 5 về quỹ đạo dừng n = 4 thì nguyên tử phát ra phôtôn có bước sóng λ0. Khi nguyên tử hấp thụ một photon có bước sóng λ thì chuyển từ trạng thái dừng có mức năng lượng tưng ứng với n = 2 lên trạng thái dừng có mực năng lượng tương ứng với n = 4. Tỉ số
là
Đáp án đúng là: D
Quảng cáo
Đáp án cần chọn là: D
>> 2K9 Chú ý! Lộ Trình Sun 2027 - 1 lộ trình ôn đa kỳ thi (TN THPT, ĐGNL (Hà Nội/ Hồ Chí Minh), ĐGNL Sư Phạm, ĐGTD, ĐGNL Bộ Công an, ĐGNL Bộ Quốc phòngTD - Click xem ngay) tại Tuyensinh247.com. Cập nhật bám sát bộ SGK mới, Thầy Cô giáo giỏi, 3 bước chi tiết: Nền tảng lớp 12; Luyện thi chuyên sâu; Luyện đề đủ dạng đáp ứng mọi kì thi.
![]() |
![]() |
![]() |
![]() |
![]() |
![]() |
![]() |
![]() |
Hỗ trợ - Hướng dẫn
-
024.7300.7989
-
1800.6947
(Thời gian hỗ trợ từ 7h đến 22h)
Email: lienhe@tuyensinh247.com













