Có ba con lắc cùng chiều dài dây treo, cùng khối lượng. Con lắc thứ nhất và thứ hai mang điện
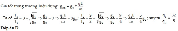
Có ba con lắc cùng chiều dài dây treo, cùng khối lượng. Con lắc thứ nhất và thứ hai mang điện tích q1 và q2, con lắc thứ ba không mang điện tích. Chu kì dao động điều hoà của chúng trong điện trường có phương thẳng đứng lần lượt là T1, T2 và T3 với T3 = 3T1; 3T2 = 2T3. Tính q1 và q2. Biết q1 + q2 = 7,4.10-8 C.
Đáp án đúng là: D
Quảng cáo
Đáp án cần chọn là: D
>> 2K9 Chú ý! Lộ Trình Sun 2027 - 1 lộ trình ôn đa kỳ thi (TN THPT, ĐGNL (Hà Nội/ Hồ Chí Minh), ĐGNL Sư Phạm, ĐGTD, ĐGNL Bộ Công an, ĐGNL Bộ Quốc phòngTD - Click xem ngay) tại Tuyensinh247.com. Cập nhật bám sát bộ SGK mới, Thầy Cô giáo giỏi, 3 bước chi tiết: Nền tảng lớp 12; Luyện thi chuyên sâu; Luyện đề đủ dạng đáp ứng mọi kì thi.
![]() |
![]() |
![]() |
![]() |
![]() |
![]() |
![]() |
![]() |
Hỗ trợ - Hướng dẫn
-
024.7300.7989
-
1800.6947
(Thời gian hỗ trợ từ 7h đến 22h)
Email: lienhe@tuyensinh247.com













