Trong thí nghiệm Iâng về giao thoa ánh sáng, khoảng cách giữa hai khe là 2mm, khoảng cách từ hai khe
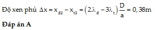
Trong thí nghiệm Iâng về giao thoa ánh sáng, khoảng cách giữa hai khe là 2mm, khoảng cách từ hai khe đến màn là 2m. Nguồn S phát ánh sáng trắng có bước sóng từ 0,38μm đến 0,76μm. Vùng phủ nhau giữa quang phổ bậc hai và bậc ba có bề rộng là:
Đáp án đúng là: A
Quảng cáo
Đáp án cần chọn là: A
>> 2K9 Chú ý! Lộ Trình Sun 2027 - 1 lộ trình ôn đa kỳ thi (TN THPT, ĐGNL (Hà Nội/ Hồ Chí Minh), ĐGNL Sư Phạm, ĐGTD, ĐGNL Bộ Công an, ĐGNL Bộ Quốc phòngTD - Click xem ngay) tại Tuyensinh247.com. Cập nhật bám sát bộ SGK mới, Thầy Cô giáo giỏi, 3 bước chi tiết: Nền tảng lớp 12; Luyện thi chuyên sâu; Luyện đề đủ dạng đáp ứng mọi kì thi.
![]() |
![]() |
![]() |
![]() |
![]() |
![]() |
![]() |
![]() |
Hỗ trợ - Hướng dẫn
-
024.7300.7989
-
1800.6947
(Thời gian hỗ trợ từ 7h đến 22h)
Email: lienhe@tuyensinh247.com













