Cho sơ đồ phả hệ mô tả sự di truyền một bệnh ở người do một trong 2 alen của một gen qui
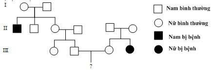
Cho sơ đồ phả hệ mô tả sự di truyền một bệnh ở người do một trong 2 alen của một gen qui định, alen trội là hoàn toàn.

Biết rằng không xảy ra đột biến và bố của người đàn ông thế hệ thứ III không mang alen gây bệnh. Xác suất người con đầu lòng của cặp vợ chồng ở thế hệ thứ III là con trai và bị bệnh là:
Đáp án đúng là: A
Quảng cáo
Đáp án cần chọn là: A
>> 2K9 Chú ý! Lộ Trình Sun 2027 - 1 lộ trình ôn đa kỳ thi (TN THPT, ĐGNL (Hà Nội/ Hồ Chí Minh), ĐGNL Sư Phạm, ĐGTD, ĐGNL Bộ Công an, ĐGNL Bộ Quốc phòngTD - Click xem ngay) tại Tuyensinh247.com. Cập nhật bám sát bộ SGK mới, Thầy Cô giáo giỏi, 3 bước chi tiết: Nền tảng lớp 12; Luyện thi chuyên sâu; Luyện đề đủ dạng đáp ứng mọi kì thi.
![]() |
![]() |
![]() |
![]() |
![]() |
![]() |
![]() |
![]() |
Hỗ trợ - Hướng dẫn
-
024.7300.7989
-
1800.6947
(Thời gian hỗ trợ từ 7h đến 22h)
Email: lienhe@tuyensinh247.com












