Một con lắc lò xo gồm lò xo nhẹ và vật nhỏ dao động điều hòa theo phương thẳng đứng với
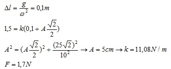
Một con lắc lò xo gồm lò xo nhẹ và vật nhỏ dao động điều hòa theo phương thẳng đứng với tần số góc 10 rad/s. Lấy mốc thế năng ở vị trí cân bằng của vật. Biết rằng khi động năng và thế năng bằng nhau thì độ lớn lực đàn hồi và tốc độ của vật lần lượt là 1,5N và 25√2 cm/s. Biết độ cứng của lò xo k < 20 N/m. Độ lớn cực đại của lực đàn hồi là
Đáp án đúng là: B
Quảng cáo
Đáp án cần chọn là: B
>> 2K9 Chú ý! Lộ Trình Sun 2027 - 1 lộ trình ôn đa kỳ thi (TN THPT, ĐGNL (Hà Nội/ Hồ Chí Minh), ĐGNL Sư Phạm, ĐGTD, ĐGNL Bộ Công an, ĐGNL Bộ Quốc phòngTD - Click xem ngay) tại Tuyensinh247.com. Cập nhật bám sát bộ SGK mới, Thầy Cô giáo giỏi, 3 bước chi tiết: Nền tảng lớp 12; Luyện thi chuyên sâu; Luyện đề đủ dạng đáp ứng mọi kì thi.
![]() |
![]() |
![]() |
![]() |
![]() |
![]() |
![]() |
![]() |
Hỗ trợ - Hướng dẫn
-
024.7300.7989
-
1800.6947
(Thời gian hỗ trợ từ 7h đến 22h)
Email: lienhe@tuyensinh247.com













