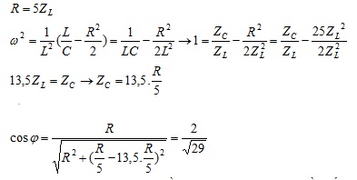
Cho đoạn mạch RLC nối tiếp (cuộn dây thuần cảm) với CR2 < 2L. Đặt vào hai đầu đoạn
Cho đoạn mạch RLC nối tiếp (cuộn dây thuần cảm) với CR2 < 2L. Đặt vào hai đầu đoạn mạch điện áp u = U0cosωt với ω thay đổi được. Điều chỉnh ω để điện áp hiệu dụng giữa hai bản tụ đạt cực đại, khi đó điện áp hiệu dụng trên điện trở gấp 5 lần điện áp hiệu dụng trên cuộn dây. Hệ số công suất của đoạn mạch khi đó là
Đáp án đúng là: B
Quảng cáo
Đáp án cần chọn là: B
>> 2K9 Chú ý! Lộ Trình Sun 2027 - 1 lộ trình ôn đa kỳ thi (TN THPT, ĐGNL (Hà Nội/ Hồ Chí Minh), ĐGNL Sư Phạm, ĐGTD, ĐGNL Bộ Công an, ĐGNL Bộ Quốc phòngTD - Click xem ngay) tại Tuyensinh247.com. Cập nhật bám sát bộ SGK mới, Thầy Cô giáo giỏi, 3 bước chi tiết: Nền tảng lớp 12; Luyện thi chuyên sâu; Luyện đề đủ dạng đáp ứng mọi kì thi.
![]() |
![]() |
![]() |
![]() |
![]() |
![]() |
![]() |
![]() |
Hỗ trợ - Hướng dẫn
-
024.7300.7989
-
1800.6947
(Thời gian hỗ trợ từ 7h đến 22h)
Email: lienhe@tuyensinh247.com













