Ở mặt thoáng chất lỏng có hai nguồn sóng kết hợp dao động theo phương trình: uA = uB = acos10πt
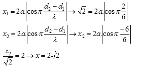
Ở mặt thoáng chất lỏng có hai nguồn sóng kết hợp dao động theo phương trình: uA = uB = acos10πt (với u tính bằng mm, t tính ra s). Coi biên độ sóng không đổi, tốc độ truyền sóng v = 30 cm/s. Hai điểm M1, M2 cùng nằm trên một elip nhận A, B là tiêu điểm có M1A – M1B = -2 và M2A – M2B = 6 cm. Tại thời điểm li độ dao động của phần tử chất lỏng tại M1 là √2 mm thì li độ dao động của phần tử chất lỏng tại M2 là
Đáp án đúng là: D
Quảng cáo
Đáp án cần chọn là: D
>> 2K9 Chú ý! Lộ Trình Sun 2027 - 1 lộ trình ôn đa kỳ thi (TN THPT, ĐGNL (Hà Nội/ Hồ Chí Minh), ĐGNL Sư Phạm, ĐGTD, ĐGNL Bộ Công an, ĐGNL Bộ Quốc phòngTD - Click xem ngay) tại Tuyensinh247.com. Cập nhật bám sát bộ SGK mới, Thầy Cô giáo giỏi, 3 bước chi tiết: Nền tảng lớp 12; Luyện thi chuyên sâu; Luyện đề đủ dạng đáp ứng mọi kì thi.
![]() |
![]() |
![]() |
![]() |
![]() |
![]() |
![]() |
![]() |
Hỗ trợ - Hướng dẫn
-
024.7300.7989
-
1800.6947
(Thời gian hỗ trợ từ 7h đến 22h)
Email: lienhe@tuyensinh247.com













