Hai mạch dao động điện từ giống nhau có cùng hiệu điện thế cực đại trên các tụ điện
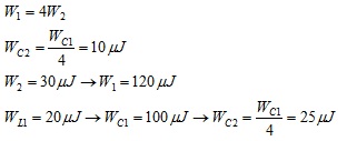
Hai mạch dao động điện từ giống nhau có cùng hiệu điện thế cực đại trên các tụ điện lần lượt là 2V và 1V. Dòng điện trong hai mạch cùng pha. Biết khi năng lượng điện trường trong mạch dao động thứ nhất bằng 40 μJ thì năng lượng từ trường trong mạch thứ hai là 20 μJ. Khi năng lượng từ trường trong mạch dao động thứ nhất bằng 20 μJ thì năng lượng điện trường trong mạch thứ hai là
Đáp án đúng là: A
Quảng cáo
Đáp án cần chọn là: A
>> 2K9 Chú ý! Lộ Trình Sun 2027 - 1 lộ trình ôn đa kỳ thi (TN THPT, ĐGNL (Hà Nội/ Hồ Chí Minh), ĐGNL Sư Phạm, ĐGTD, ĐGNL Bộ Công an, ĐGNL Bộ Quốc phòngTD - Click xem ngay) tại Tuyensinh247.com. Cập nhật bám sát bộ SGK mới, Thầy Cô giáo giỏi, 3 bước chi tiết: Nền tảng lớp 12; Luyện thi chuyên sâu; Luyện đề đủ dạng đáp ứng mọi kì thi.
![]() |
![]() |
![]() |
![]() |
![]() |
![]() |
![]() |
![]() |
Hỗ trợ - Hướng dẫn
-
024.7300.7989
-
1800.6947
(Thời gian hỗ trợ từ 7h đến 22h)
Email: lienhe@tuyensinh247.com













