Giao thoa sóng nước với hai nguồn giống nhau A,B có tần số 40 Hz, cách nhau 10 cm. Tốc độ truyền
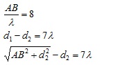
Giao thoa sóng nước với hai nguồn giống nhau A,B có tần số 40 Hz, cách nhau 10 cm. Tốc độ truyền sóng trên mặt nước là 0,5 m/s. Xét đường thẳng By nằm trên mặt nước và vuông góc với AB. Điểm M trên By dao động với biên độ cực đại cùng pha với nguồn và gần B nhất (không tính điểm B) là:
Đáp án đúng là: B
Quảng cáo
Đáp án cần chọn là: B
>> 2K9 Chú ý! Lộ Trình Sun 2027 - 1 lộ trình ôn đa kỳ thi (TN THPT, ĐGNL (Hà Nội/ Hồ Chí Minh), ĐGNL Sư Phạm, ĐGTD, ĐGNL Bộ Công an, ĐGNL Bộ Quốc phòngTD - Click xem ngay) tại Tuyensinh247.com. Cập nhật bám sát bộ SGK mới, Thầy Cô giáo giỏi, 3 bước chi tiết: Nền tảng lớp 12; Luyện thi chuyên sâu; Luyện đề đủ dạng đáp ứng mọi kì thi.
![]() |
![]() |
![]() |
![]() |
![]() |
![]() |
![]() |
![]() |
Hỗ trợ - Hướng dẫn
-
024.7300.7989
-
1800.6947
(Thời gian hỗ trợ từ 7h đến 22h)
Email: lienhe@tuyensinh247.com













