Cho đoạn mạch AB theo thứ tự gồm cuộn dây thuần cảm có độ tự cảm L, một đoạn mạch X
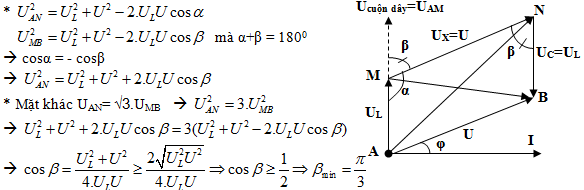
Cho đoạn mạch AB theo thứ tự gồm cuộn dây thuần cảm có độ tự cảm L, một đoạn mạch X và tụ điện có điện dung C mắc nối tiếp. Gọi M là điểm nối giữa L và X, N là điểm nối giữa X và C. Đặt vào hai đầu đoạn mạch điện áp xoay chiều u = U0cosωt với ω thỏa mãn điều kiện LCω2 = 1. Khi đó điện áp hiệu dụng của đoạn mạch AN (chứa L và X) gấp √3 lần điện áp hiệu dụng của đoạn mạch MB (chứa X và C). Độ lệch pha lớn nhất giữa điện áp của cuộn dây và đoạn mạch X bằng:
Đáp án đúng là: A
Quảng cáo
Đáp án cần chọn là: A
>> 2K9 Chú ý! Lộ Trình Sun 2027 - 1 lộ trình ôn đa kỳ thi (TN THPT, ĐGNL (Hà Nội/ Hồ Chí Minh), ĐGNL Sư Phạm, ĐGTD, ĐGNL Bộ Công an, ĐGNL Bộ Quốc phòngTD - Click xem ngay) tại Tuyensinh247.com. Cập nhật bám sát bộ SGK mới, Thầy Cô giáo giỏi, 3 bước chi tiết: Nền tảng lớp 12; Luyện thi chuyên sâu; Luyện đề đủ dạng đáp ứng mọi kì thi.
![]() |
![]() |
![]() |
![]() |
![]() |
![]() |
![]() |
![]() |
Hỗ trợ - Hướng dẫn
-
024.7300.7989
-
1800.6947
(Thời gian hỗ trợ từ 7h đến 22h)
Email: lienhe@tuyensinh247.com












