Một mạch dao động lí tưởng được dùng làm mạch chọn sóng của một máy thu vô tuyến điện.
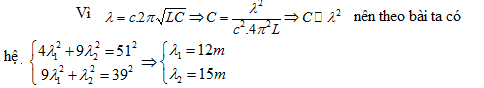
Một mạch dao động lí tưởng được dùng làm mạch chọn sóng của một máy thu vô tuyến điện. Điện dung của nó có giá trị thay đổi được, cuộn cảm có độ tự cảm không đổi. Nếu điều chỉnh điện dung C = 4C1+9C2 thì máy thu bắt được sóng điện có bước sóng 51m. Nếu điều chỉnh điện dung C = 9C1+C2 thì máy thu bắt được sóng điện từ có bước sóng 39m. Nếu điều chỉnh điện dung của tụ lần lượt là C = C1 và C = C2 thì máy thu bắt được sóng điện từ có bước sóng theo thứ tự đó là:
Đáp án đúng là: C
Quảng cáo
Đáp án cần chọn là: C
>> 2K9 Chú ý! Lộ Trình Sun 2027 - 1 lộ trình ôn đa kỳ thi (TN THPT, ĐGNL (Hà Nội/ Hồ Chí Minh), ĐGNL Sư Phạm, ĐGTD, ĐGNL Bộ Công an, ĐGNL Bộ Quốc phòngTD - Click xem ngay) tại Tuyensinh247.com. Cập nhật bám sát bộ SGK mới, Thầy Cô giáo giỏi, 3 bước chi tiết: Nền tảng lớp 12; Luyện thi chuyên sâu; Luyện đề đủ dạng đáp ứng mọi kì thi.
![]() |
![]() |
![]() |
![]() |
![]() |
![]() |
![]() |
![]() |
Hỗ trợ - Hướng dẫn
-
024.7300.7989
-
1800.6947
(Thời gian hỗ trợ từ 7h đến 22h)
Email: lienhe@tuyensinh247.com












