Hai mạch dao động điện từ lí tưởng đang có dao động điện từ tự do với cùng cường độ
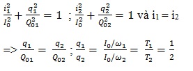
Hai mạch dao động điện từ lí tưởng đang có dao động điện từ tự do với cùng cường độ dòng điện cực đại I0. Chu kỳ dao động riêng của mạch thứ nhất là T1, của mạch thứ hai là T2 = 2T1. Khi cường độ dòng điện trong hai mạch có cùng độ lớn và nhỏ hơn I0 thì độ lớn điện tích trên một bản tụ điện của mạch dao động thứ nhất là q1 và của mạch dao động thứ hai là q2. Tỉ số
là
Đáp án đúng là: A
Quảng cáo
Đáp án cần chọn là: A
>> 2K9 Chú ý! Lộ Trình Sun 2027 - 1 lộ trình ôn đa kỳ thi (TN THPT, ĐGNL (Hà Nội/ Hồ Chí Minh), ĐGNL Sư Phạm, ĐGTD, ĐGNL Bộ Công an, ĐGNL Bộ Quốc phòngTD - Click xem ngay) tại Tuyensinh247.com. Cập nhật bám sát bộ SGK mới, Thầy Cô giáo giỏi, 3 bước chi tiết: Nền tảng lớp 12; Luyện thi chuyên sâu; Luyện đề đủ dạng đáp ứng mọi kì thi.
![]() |
![]() |
![]() |
![]() |
![]() |
![]() |
![]() |
![]() |
Hỗ trợ - Hướng dẫn
-
024.7300.7989
-
1800.6947
(Thời gian hỗ trợ từ 7h đến 22h)
Email: lienhe@tuyensinh247.com













