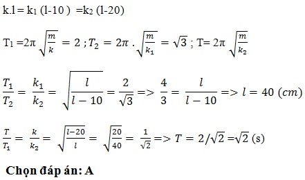
Một lò xo đồng chất , tiết diện đều được cắt thành 3 lò xo có chiều dài tự nhiên là
Một lò xo đồng chất , tiết diện đều được cắt thành 3 lò xo có chiều dài tự nhiên là l ( l-10) (cm ) và (l-20) (cm ).Lần lượt gắn mỗi lò xo này ( theo theo tự trên ) với vật nhỏ khối lượng m thì được ba con lắc có chu kỳ dao động riêng tương ứng là : 2s ;
s và T. Biết độ cứng của các lò xo tỉ lệ nghịch với chiều dài tự nhiên của nó . Giá trị của T là :
Đáp án đúng là: A
Quảng cáo
Đáp án cần chọn là: A
>> 2K9 Chú ý! Lộ Trình Sun 2027 - 1 lộ trình ôn đa kỳ thi (TN THPT, ĐGNL (Hà Nội/ Hồ Chí Minh), ĐGNL Sư Phạm, ĐGTD, ĐGNL Bộ Công an, ĐGNL Bộ Quốc phòngTD - Click xem ngay) tại Tuyensinh247.com. Cập nhật bám sát bộ SGK mới, Thầy Cô giáo giỏi, 3 bước chi tiết: Nền tảng lớp 12; Luyện thi chuyên sâu; Luyện đề đủ dạng đáp ứng mọi kì thi.
![]() |
![]() |
![]() |
![]() |
![]() |
![]() |
![]() |
![]() |
Hỗ trợ - Hướng dẫn
-
024.7300.7989
-
1800.6947
(Thời gian hỗ trợ từ 7h đến 22h)
Email: lienhe@tuyensinh247.com













