Lần lượt đặt điện áp ( U không đổi ,ω thay đổi được) vào 2 đầu của đoạn mạch X
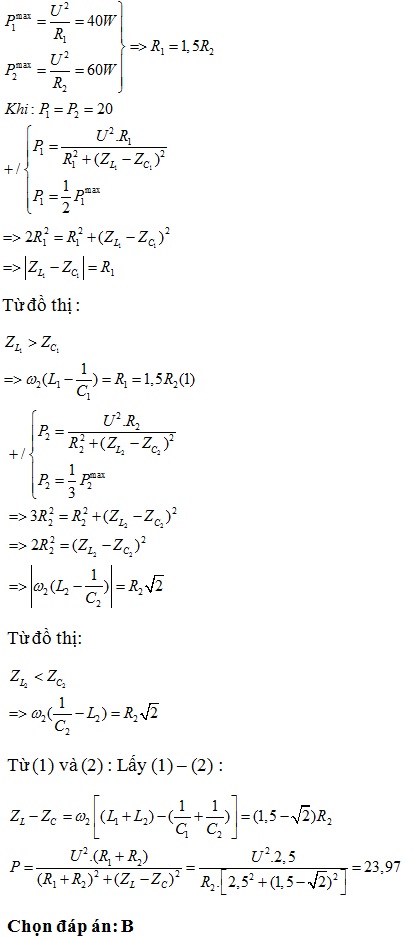
Lần lượt đặt điện áp
( U không đổi ,ω thay đổi được) vào 2 đầu của đoạn mạch X và vào 2 đầu của đoạn mạch Y, với X và Y là các đoạn mạch R,L,C mắc nối tiếp. Trên hình vẽ Px và Py lần lượt biểu diễn quan hệ công suất tiêu thụ của X với w và của Y với w. Sau đó đặt điện áp u lên 2 đầu đoạn mạch AB gồm X và Y mắc nối tiếp. Biết cảm kháng của 2 cuộn cảm thuần mắc nối tiếp ( có cảm kháng ZL1 và ZL2) là ZL=ZL1 + ZL2 và dung kháng của 2 tụ điện mắc nối tiếp ( có dung kháng ZC1 và ZC2) là ZC=ZC1+ZC2. Khi ω=ω2, công suất tiêu thụ của đoạn mạch AB có giá trị gần nhất với giá trị nào sau đây:

Đáp án đúng là: B
Quảng cáo
Đáp án cần chọn là: B
>> 2K9 Chú ý! Lộ Trình Sun 2027 - 1 lộ trình ôn đa kỳ thi (TN THPT, ĐGNL (Hà Nội/ Hồ Chí Minh), ĐGNL Sư Phạm, ĐGTD, ĐGNL Bộ Công an, ĐGNL Bộ Quốc phòngTD - Click xem ngay) tại Tuyensinh247.com. Cập nhật bám sát bộ SGK mới, Thầy Cô giáo giỏi, 3 bước chi tiết: Nền tảng lớp 12; Luyện thi chuyên sâu; Luyện đề đủ dạng đáp ứng mọi kì thi.
![]() |
![]() |
![]() |
![]() |
![]() |
![]() |
![]() |
![]() |
Hỗ trợ - Hướng dẫn
-
024.7300.7989
-
1800.6947
(Thời gian hỗ trợ từ 7h đến 22h)
Email: lienhe@tuyensinh247.com













